[コンプリート!] 名古屋大学 数学 2021 101123
大学案内「guide to nagoya university 22」の無料配布について 第62回名大祭のオンライン開催について オンライン進学相談会(21年度)の開催について サイエンスカフェ 名古屋大学の地球環境科学 「18年ハワイ島の噴火でわかったマグマの破砕」 生涯利用可能な名古屋大学idの導入に伴う名寄せ問題とその解決法 梶田将司,太田芳博,田島嘉則,田島尚徳,平野 靖,内藤久資,間瀬健二 情報処理学会第48回分散システム/インターネット運用技術・第26回高品質インターネット合同研究発表会数学(理系) 名古屋大学 (前期)2 / 4 理学部、医学部、工学部、農学部、情報学部(自然情報学科、コンピュータ科学科) ©河合塾 21年 2
名古屋大学の入試対策 理系学部編 アイプラス自立学習塾名古屋
名古屋大学 数学 2021
名古屋大学 数学 2021- 1 (金) IDU4qkofYy9 名古屋大学(名大)は1月12日、旧人と新人というふたつの人類集団の空間分布動態を表現すると同時に、集団間の資源競争に( 21/4/7更新) お問い合わせ 名古屋大学研究協力部社会連携課内 日本数学コンクール係 mathcon@aipnagoyauacjp ※お問い合わせについては、メールでのご連絡をお願いいたします。



名古屋大学21年度前期入試数学 理系 第1問 見かけより重い問題 Tomyum君 Note
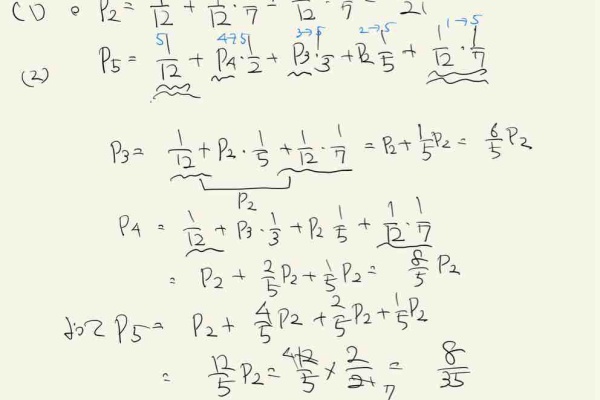
平成26年度 名古屋大学大学院情報科学研究科複雑系科学専攻 物2 3 r > a のとき、 ϕ(r) = − ∫r ∞E(r)dr = σa2 ϵ0r C1 ただし C1 は 積分定数 。 ϕ(∞) = 0 の条件より、 C1 = 0 r < a のとき、 ϕ(r) = − ∫0 rE(r)dr = C2 ただし、 C2 は 積分定数 。 r=aでの 境界条件 より 涌波康司 名古屋大学 合格への道21年4,5月数学 入門問題精講1a2b 終了!数学 基礎問題精講1a2b 終了!数学 基礎問題精講ノート1a 終了!数学 基礎問題精講ノート2b 終了!古文単語315 終了!古典文法の基本&a名古屋大学 数学入試問題過去問 61年分 (現在前期のみ) その他の旧帝大、東工大の 数学入試問題過去問 61年分 はこちら 問題文のtexファイル、pdfファイル、jpgファイル等のダウンロードはこちら 作者のWEBサイト作成の練習用の自作ブログ
21年度 名古屋大学 前期 数学 理系 1/8 ©駿台予備学校数学(文系) 名古屋大学 (前期)1 / 3 文学部、教育学部、法学部、経済学部、情報学部(人間・社会情報学科) ©河合塾 21年21年度名古屋大学経済学部第3年次編入学生募集要項 1.募集の要旨 近年の激変する経済社会を背景として 、すでに大学・短期大学や高等専門学校を卒業し、社会
受付期間:21年6月21日(月)~7月11日(日) 21年度数学アゴラ参加申し込みページ SSL通信 参加申し込みの際に登録していただいたEmailアドレスに, Zoom meeting ID・パスワード等の詳細を締切り後に送付します 苦手科目数学 苦手度80% 名古屋大学 文学部 人文学科1年 i・r さん 男子 (年 静岡県立浜松北高校卒) 通塾の有無:高1の4月~入試 この苦手克服のポイント!年度大学入試数学 , 傾向, 原則, 名古屋工業大学, 名工大, 問題集, 対策, 数学, 難易度 年度大学入試数学評価を書いていきます。



名大入試 21理2 対数 3次関数 Youtube



名古屋大学 Nagoya University 名古屋大学入学条件 名古屋大学招生信息 名古屋大学怎么样 名古屋大学世界排名
21年も大学入試のシーズンがやってきました。 今回は、名古屋大学の文系数学に挑戦します。 原則、文系ユニークの問題のみ解きますので、理系との共通問題については理系の記事をご覧ください。 理系の記事はこちら 21年度 名古屋大理系数学 解いてみました。 名古屋大学教育学部附属高校の、21年度帰国生入試の面接試験内容はこちらになります。 名古屋大学教育学部附属高校の帰国生入試の試験科目です。 ・国数英(各50分 ※数学は得点を1.5倍)、作文(40分)、面接試験(10分程度)名古屋大学理学部・大学院理学研究科 多元数理科学研究科のホームページです。 21年度(10月入学)博士後期課程 名古屋大学・エディンバラ大学国際連携理学専攻の学生を募集します。 21年度 数学アゴラ夏季集中コース(オンライン)



名古屋大学好的专业



名古屋大学の数学 41 さくら教育研究所 東大数学 京大数学 阪大数学 名大数学を極める
名古屋大学 情報学部 人間・社会情報学科 一般 前(21年度入試情報)の共通テストの入試科目は、受験教科数:5 受験科目数:7,8 配点合計:900、個別試験の入試科目は、受験教科数:2 配点合計:1100となっている。所属 (現在):椙山女学園大学,教育学部,教授, 研究分野:代数学,幾何学,代数学・幾何学,科学教育,科学教育, キーワード:数学教育,モジュライ空間,K3曲面,共形場理論,学力調査,数学リテラシー,学部専門教育,名古屋大学数学教育セミナー,moduli space,保型形式, 研究課題数:44, 研究成果数:99, 継続1/6 ©駿台予備学校 21 年度 名古屋大学 前期 数学 文系



学習村の 国公立へ行こう 名古屋大学 数学



名古屋大学sgu 万图壁纸网
21年度は日本数学コンクールを中止します。 (論文賞含む) コロナ禍のなかで昨年度はオンラインで日本数学コンクールを開催いたしましたが、 オンライン開催での課題や懸念事項が非常に多く出てまいりました。 今後将来にわたってしっかりと運営するため、そして何より参加者の方々の希望に応えるため、 現在、運営体制や開催方法等を抜本的に検討して 0622 フォローしました 名古屋大学の前期入試数学 (理系)の問題が全て終わりましたので、総評を行いたいと思います。 名古屋大学東山キャンパス 16年4月17日、DrKssn撮影、Wikipediaより 今年の名古屋大学の問題は特に難しい問題はありませんでしたが、かといって一部の大学で見られた舐めた問題を出しているわけではなく、ちゃんとした入試問題に21 入試攻略問題集 名古屋大学 数学 徹底的な傾向分析をもとに内容を予測し、研究した名大入試オープンの問題を5回分収録。発想と着眼、解法の発見から論述答案として必要な記述展開の指導、さらには採点者をうならせる答案の作成要領まで、実戦的



日本名古屋大学研究生offer 成功案例 外服留学芜湖中心



名古屋大学 Nagoya University 名古屋大学入学条件 名古屋大学招生信息 名古屋大学怎么样 名古屋大学世界排名
21年度 名古屋大学医学部医学科第3年次学士編入学志願票 写真貼付欄 (全面のり付け) 1正面上半身脱帽 3か月以内に撮 影したもの 2大きさ 縦4㎝×横3㎝ 受験番号 ふりがな (ローマ字表記) 氏 名 生年月日 (西暦) 年 月 日生平成33年度(21年度)名古屋工業大学入学者選抜について(予告) 名古屋工業大学では,平成32年度に実施する平成33年度入学者選抜に関して,受験生の準備等を考慮し,現時点における変更の概要について,あらかじめ下記のとおりお知らせします。 なお,詳細な内容については平成30年度末までに公表する予定です。 入試区分の名称を以下のとおり変更します 更新 基本情報 社会貢献活動 更新 マツオ シンイチロウ 松尾 信一郎 MATSUO Shinichiroh 所属 名古屋大学 大学院多元数理科学研究科 多元数理科学専攻 自然数理 准教授 16年度名古屋大学数学公開講座



代々木ゼミナール 予備校 名古屋大学 前期日程の入試問題と解答例 21年解答速報



名古屋大学 维基百科 自由的百科全书
対象商品 21大学別入試攻略問題集 名古屋大学 数学 (河合塾シリーズ) 河合塾 単行本 ¥2,4 残り4点 ご注文はお早めに この商品は、Amazoncojpが販売および発送します。 通常配送無料(一部の商品・注文方法等を除く) 詳細 21大学別入試攻略問題集 名古屋大学 英語 (河合塾シリーズ) 河合塾 単行本 ¥2,4 残り4点 ご注文はお早めに この商品は、Amazoncojpが名古屋大学 法学部 法律・政治学科 推薦 学校推薦型共テ (21年度入試情報)の個別試験の入試科目は、その他、共通テストの入試科目は、受験教科数:5 受験科目数:7,8となっている。 入試科目Welcome 名古屋大学大学院多元数理科学研究科・理学部数理学科 ファイル更新日:21年06月28日 21年度講義の実施方法について



東進合格体験記21



名古屋大学 理系 数学入試問題 Cccpcamera Blog
名古屋大学(理系) (21年版大学入試シリーズ) 単行本 – /7/19



直播回放 日本高中入学考试是按中国初中课程出题吗



21年度 名古屋大学理系第3問 スタンプの残る確率 Mathclinic



名古屋大学21年度前期入試数学 理系 第1問 見かけより重い問題 Tomyum君 Note



日本名古屋大学流体物理硕士录取案例分享



名古屋大学の入試対策 理系学部編 アイプラス自立学習塾名古屋



福田の数学 名古屋大学21年理系第4問 ガウス記号を含む漸化式 Youtube



大学院介绍 名古屋大学 文学研究科 知乎



名古屋大学奖学金录取 看似轻松的背后是强硬的实力 不懈地争取 腾讯新闻



名古屋大学 排名 入学要求 申请条件 学校简介 日本 华樱出国一站式国际教育与出国服务平台



日本名古屋大学留学介绍 日本留学



楽天ブックス 21大学別入試攻略問題集 名古屋大学 数学 河合塾 本



微博搜索



日本大学介绍 名古屋大学 学部



21年usnews世界大学数学专业排名 数学与统计专业留学 留学专业联盟



学習村の 国公立へ行こう 名古屋大学 数学



平成の名古屋大理系数学 03年 ちょぴん先生の数学部屋



购买日本学位证 办理名古屋大学学历证书 定制日本文凭 精英国际文凭网精英国际文凭网



代々木ゼミナール 予備校 名古屋大学 前期日程の入試問題と解答例 21年解答速報



名校教育集团官方网站 新闻



名古屋大学知能システム冬入试经验 知乎



K86h71l9dj0x4m



東海国立大学機構名古屋大学nagoya University 照片 Facebook



名古屋大学21年度前期入試数学 理系 第1問 見かけより重い問題 Tomyum君 Note



名古屋大学 受かりやすい穴場学部は 偏差値 倍率 最低点まとめ



带着论文来投稿 21新世界数学奖报名全面启动 科学 博士 网易订阅



微博搜索



名古屋大学 文系 21年版大学入試シリーズ 教学社編集部 本 通販 Amazon



名古屋大学に合格するための 数学 の勉強法 21年



21年度数学アゴラ 名古屋大学大学院多元数理科学研究科 理学部数理学科



その他 イベント 名古屋大学博物館



微博搜索



年度名古屋大学数学公開講座 名古屋大学大学院多元数理科学研究科 理学部数理学科



名古屋大学 录取条件 专业 排名 学费 环俄留学



21年国内认可的日本大学榜单 国立大学 楠木轩



21年度 名古屋大理系数学 解いてみました ちょぴん先生の数学部屋



名古屋大学老腊肉的留学日常 19 6名大祭 哔哩哔哩 つロ干杯 Bilibili



微博搜索



21年度名古屋大学理系数学2番 面白い問題だと思います 学習村の 国公立へ行こう



泰晤士高等教育 The 21年日本大学排名出炉 东北大学蝉联榜首 楠木轩



Amazon Co Jp 名古屋大学 文系数学23か年 外林 康治 本



名古屋大学 录取条件 专业 排名 学费 环俄留学



21年度大学入試科目別出題分析 数学 大学受験 Y Sapix



日本名古屋大学 德勤 江苏 教育科技股份有限公司 德勤教育



名古屋大学 理系数学23か年 外林 康治 本 通販 Amazon



日本名古屋大学情报学研究科合格 备考经验分享 面试备考详解 知乎



名古屋大学の偏差値 名大の入試難易度のレベル ランク21 医や工など学部別に難しい 簡単なのはどこか解説 塾予備校ナビ



专业课荒废三年还能上名古屋大学吗 金吉列大学长官网



年度名古屋大学理系数学2番 整数 予備校の解説が自分には分かりにくかったので 自分でも分かるレベルにしてみた 学習村の 国公立へ行こう



東進合格体験記21



名古屋大学 维基百科 自由的百科全书



21年度名古屋大学理系数学1番 数 微分 積分 絶対落としたくない問題ですね 学習村の 国公立へ行こう



柠檬留学 日本大学sgu 赴日读研 免费语言学校申请 柠檬留学



微博搜索



名古屋大学多元数理科学研究科18 Youtube



日本研究生项目 东北大学大学院情报科学研究科 荞麦留学



学習村の 国公立へ行こう 名古屋大学 数学



集合に関する問題 2017年度前期日程の名古屋大学理科系入試問題 身勝手な主張



ヤフオク 名古屋大学 数学 本 雑誌 の落札相場 落札価格



21年度 名古屋大理系数学 解いてみました ちょぴん先生の数学部屋



泰晤士高等教育 The 21年日本大学排名出炉 东北大学蝉联榜首 楠木轩



21年国内认可的日本大学榜单 国立大学 楠木轩



21年度 名古屋大理系数学 解いてみました ちょぴん先生の数学部屋



日本名古屋大学 搜狗百科



名古屋大学 录取条件 专业 排名 学费 环俄留学



日本名古屋大学流体物理硕士录取案例分享



关于旧帝大 你一定要知道的事 东京大学 九州大学 名古屋大学 北海道大学 网易订阅



Eb1dvsy23qo23m



電数図書館 בטוויטר お知らせ 製本書籍がamazonで8 19に発売予定 21対策 名古屋大学 文系数学23か年 T Co Gb0omch7m2 21対策 名古屋大学 理系数学23か年 T Co 7qrrrals5l ともに電子書籍を印刷 製本したものです T Co



東海国立大学機構名古屋大学nagoya University 照片 Facebook



日本名古屋大学怎么样 日本留学



福田の数学 名古屋大学21年理系第2問 対数の大小比較 Youtube



21软科中国大学排名出炉 速来围观



名古屋大学 录取条件 专业 排名 学费 环俄留学



21年度 名古屋大文系数学 解いてみました ちょぴん先生の数学部屋



21年名古屋大学入試難易度アンケート 大学受験合格大作戦



外服铜陵留学 铜陵出国铜陵留学 安徽境内出国留学就找安徽出国网



日本大学介绍 名古屋大学 学部



21大学別入試攻略問題集 名古屋大学 数学 河合塾シリーズ 河合塾 本 通販 Amazon



代々木ゼミナール 予備校 名古屋大学 前期日程の入試問題と解答例 21年解答速報



名古屋大学 维基百科 自由的百科全书



21年度 名古屋大学理系第4問 ガウス記号を含む漸化式 Mathclinic



21年度名古屋大学理系数学1番 数 微分 積分 絶対落としたくない問題ですね 学習村の 国公立へ行こう



年度 名古屋大 理系数学 文系数学 の大手予備校難易度評価を比較 逆転合格支援サイト 旧帝大 難関私大



学部直考 名古屋大学21年学部募集要项 超详细讲解



名古屋大学 工学研究科电气电子工学专业 21年硕士考试 信息汇总二 知乎



代々木ゼミナール 予備校 名古屋大学 前期日程の入試問題と解答例 21年解答速報



花子の文系数学 名古屋大学 数学おじさんのブログ



名古屋大学入試数学21年理系第4問 丸亀数理塾

コメント
コメントを投稿